![]() |
![]() |
![]() |
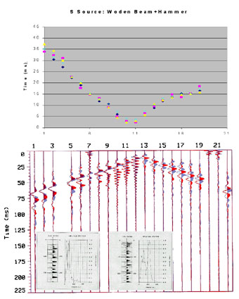
Fig.2: Parallel end-off shot records (horizontal transverse geophone channels 1-12; vertical geophone channels 13- 22). Over the S source testes are the amplitude spectrae of close (3m) and far (10m) offsets. The top of the figure shows the first arrivals from the records. S wave source tests were built overlaying two sets of records (blue and red) obtained by changing the sign of impact direction and mode of aquisition.